找回密码
 立即注册
首页 业界区 业界 VASP教程:带隙的温度依赖性计算

VASP教程:带隙的温度依赖性计算

威割 1 小时前
本文主要介绍利用单次方法计算钻石中零点重整化(ZPR)和间接带隙的温度依赖性。教程来源VASP官网案例:
https://www.vasp.at/wiki/Band_gap_renormalization_in_diamond_using_one-shot_method#Task
案例文件下载:
https://www.vasp.at/wiki/images/7/7b/EPC_cd-C.tgz
 
 
准备文件

  • 原始晶胞(POSCAR.prim):
 
C_2_fcc
   1.00000000000000
     0.0000000000000000   1.783493 1.783493
     1.783493   0.0000000000000000   1.783493
     1.783493 1.783493    0.0000000000000000
   C
     2
Direct
  0.0000000000000000  0.0000000000000000  0.0000000000000000
  0.7500000000000000  0.7500000000000000  0.7500000000000000 
 
 
官网教程使用4×4×4超胞进行演示,实际情况中需要进行超胞的收敛性测试,即3×3×3,4×4×4,5×5×5等超胞大小进行计算并判断所得带隙值是否随超胞变大而逐渐收敛。
4×4×4超胞POSCAR.4x4x4如下 
 
C_128_fcc
   1.00000000000000     
    0.00000000   7.13397200   7.13397200
    7.13397200   0.00000000   7.13397200
    7.13397200   7.13397200   0.00000000
   C 
  128
Direct
   0.00000000   0.00000000   0.00000000
   0.25000000   0.00000000   0.00000000
   0.50000000   0.00000000   0.00000000
   0.75000000   0.00000000   0.00000000
   0.00000000   0.25000000   0.00000000
   0.25000000   0.25000000   0.00000000
   0.50000000   0.25000000   0.00000000
   0.75000000   0.25000000   0.00000000
   0.00000000   0.50000000   0.00000000
   0.25000000   0.50000000   0.00000000
   0.50000000   0.50000000   0.00000000
   0.75000000   0.50000000   0.00000000
   0.00000000   0.75000000   0.00000000
   0.25000000   0.75000000   0.00000000
   0.50000000   0.75000000   0.00000000
   0.75000000   0.75000000   0.00000000
   0.00000000   0.00000000   0.25000000
   0.25000000   0.00000000   0.25000000
   0.50000000   0.00000000   0.25000000
   0.75000000   0.00000000   0.25000000
   0.00000000   0.25000000   0.25000000
   0.25000000   0.25000000   0.25000000
   0.50000000   0.25000000   0.25000000
   0.75000000   0.25000000   0.25000000
   0.00000000   0.50000000   0.25000000
   0.25000000   0.50000000   0.25000000
   0.50000000   0.50000000   0.25000000
   0.75000000   0.50000000   0.25000000
   0.00000000   0.75000000   0.25000000
   0.25000000   0.75000000   0.25000000
   0.50000000   0.75000000   0.25000000
   0.75000000   0.75000000   0.25000000
   0.00000000   0.00000000   0.50000000
   0.25000000   0.00000000   0.50000000
   0.50000000   0.00000000   0.50000000
   0.75000000   0.00000000   0.50000000
   0.00000000   0.25000000   0.50000000
   0.25000000   0.25000000   0.50000000
   0.50000000   0.25000000   0.50000000
   0.75000000   0.25000000   0.50000000
   0.00000000   0.50000000   0.50000000
   0.25000000   0.50000000   0.50000000
   0.50000000   0.50000000   0.50000000
   0.75000000   0.50000000   0.50000000
   0.00000000   0.75000000   0.50000000
   0.25000000   0.75000000   0.50000000
   0.50000000   0.75000000   0.50000000
   0.75000000   0.75000000   0.50000000
   0.00000000   0.00000000   0.75000000
   0.25000000   0.00000000   0.75000000
   0.50000000   0.00000000   0.75000000
   0.75000000   0.00000000   0.75000000
   0.00000000   0.25000000   0.75000000
   0.25000000   0.25000000   0.75000000
   0.50000000   0.25000000   0.75000000
   0.75000000   0.25000000   0.75000000
   0.00000000   0.50000000   0.75000000
   0.25000000   0.50000000   0.75000000
   0.50000000   0.50000000   0.75000000
   0.75000000   0.50000000   0.75000000
   0.00000000   0.75000000   0.75000000
   0.25000000   0.75000000   0.75000000
   0.50000000   0.75000000   0.75000000
   0.75000000   0.75000000   0.75000000
   0.18750000   0.18750000   0.18750000
   0.43750000   0.18750000   0.18750000
   0.68750000   0.18750000   0.18750000
   0.93750000   0.18750000   0.18750000
   0.18750000   0.43750000   0.18750000
   0.43750000   0.43750000   0.18750000
   0.68750000   0.43750000   0.18750000
   0.93750000   0.43750000   0.18750000
   0.18750000   0.68750000   0.18750000
   0.43750000   0.68750000   0.18750000
   0.68750000   0.68750000   0.18750000
   0.93750000   0.68750000   0.18750000
   0.18750000   0.93750000   0.18750000
   0.43750000   0.93750000   0.18750000
   0.68750000   0.93750000   0.18750000
   0.93750000   0.93750000   0.18750000
   0.18750000   0.18750000   0.43750000
   0.43750000   0.18750000   0.43750000
   0.68750000   0.18750000   0.43750000
   0.93750000   0.18750000   0.43750000
   0.18750000   0.43750000   0.43750000
   0.43750000   0.43750000   0.43750000
   0.68750000   0.43750000   0.43750000
   0.93750000   0.43750000   0.43750000
   0.18750000   0.68750000   0.43750000
   0.43750000   0.68750000   0.43750000
   0.68750000   0.68750000   0.43750000
   0.93750000   0.68750000   0.43750000
   0.18750000   0.93750000   0.43750000
   0.43750000   0.93750000   0.43750000
   0.68750000   0.93750000   0.43750000
   0.93750000   0.93750000   0.43750000
   0.18750000   0.18750000   0.68750000
   0.43750000   0.18750000   0.68750000
   0.68750000   0.18750000   0.68750000
   0.93750000   0.18750000   0.68750000
   0.18750000   0.43750000   0.68750000
   0.43750000   0.43750000   0.68750000
   0.68750000   0.43750000   0.68750000
   0.93750000   0.43750000   0.68750000
   0.18750000   0.68750000   0.68750000
   0.43750000   0.68750000   0.68750000
   0.68750000   0.68750000   0.68750000
   0.93750000   0.68750000   0.68750000
   0.18750000   0.93750000   0.68750000
   0.43750000   0.93750000   0.68750000
   0.68750000   0.93750000   0.68750000
   0.93750000   0.93750000   0.68750000
   0.18750000   0.18750000   0.93750000
   0.43750000   0.18750000   0.93750000
   0.68750000   0.18750000   0.93750000
   0.93750000   0.18750000   0.93750000
   0.18750000   0.43750000   0.93750000
   0.43750000   0.43750000   0.93750000
   0.68750000   0.43750000   0.93750000
   0.93750000   0.43750000   0.93750000
   0.18750000   0.68750000   0.93750000
   0.43750000   0.68750000   0.93750000
   0.68750000   0.68750000   0.93750000
   0.93750000   0.68750000   0.93750000
   0.18750000   0.93750000   0.93750000
   0.43750000   0.93750000   0.93750000
   0.68750000   0.93750000   0.93750000
   0.93750000   0.93750000   0.93750000
 
 
对于超胞使用仅1个Γ点的KPOINTS
 
K-Points
 0
Gamma
 1  1  1
 0  0  0
 
 
用于计算零点重整化(ZPR)的INCAR.init
 
general:
 System = cd-C
 PREC = Accurate
 ALGO = FAST
 ISMEAR = 0; SIGMA = 0.1;
 IBRION = 6
 PHON_LMC = .TRUE.
 PHON_NSTRUCT = 0
 PHON_TLIST = 0.0
 
 
 
 
自洽INCAR.scf
general:
 System = cd-C
 PREC = Accurate
 ALGO = FAST
 ISMEAR = 0; SIGMA = 0.1;
 
 
 
 
计算0K下的ZPR
使用4×4×4超胞
cp POSCAR.4x4x4 POSCAR
和INCAR.init,
cp INCAR.init INCAR
生成含特殊位移的POSCAR
运行VASP计算后,记录原始带隙
cp OUTCAR OUTCAR.init
复制位移结构:
cp POSCAR.T=0. POSCAR
使用自洽计算INCAR:
cp INCAR.scf INCAR
运行VASP后,保存结果:
cp OUTCAR OUTCAR.T=0.
执行脚本,提取ZPR和重整化的带隙
bash extract_zpr.sh
 
#!/bin/bash 
 
i="OUTCAR.T=0."
j="OUTCAR.init"
 
homo1=`awk '/NELECT/ {print $3/2}' $i`
homo2=`awk '/NELECT/ {print $3/2-1}' $i`
homo3=`awk '/NELECT/ {print $3/2-2}' $i`
lumo1=`awk '/NELECT/ {print $3/2+var+1}' $i`
lumo2=`awk '/NELECT/ {print $3/2+var+2}' $i`
lumo3=`awk '/NELECT/ {print $3/2+var+3}' $i`
lumo4=`awk '/NELECT/ {print $3/2+var+4}' $i`
lumo5=`awk '/NELECT/ {print $3/2+var+5}' $i`
lumo6=`awk '/NELECT/ {print $3/2+var+6}' $i`
e1a=`grep "   $homo1  " $i | head -$nkpt | sort -n -k 2 | tail -1 | awk '{print $2}'`
e1b=`grep "   $homo2  " $i | head -$nkpt | sort -n -k 2 | tail -1 | awk '{print $2}'`
e1c=`grep "   $homo3  " $i | head -$nkpt | sort -n -k 2 | tail -1 | awk '{print $2}'`
e2a=`grep "   $lumo1  " $i | head -$nkpt | sort -n -k 2 | head -1 | awk '{print $2}'`
e2b=`grep "   $lumo2  " $i | head -$nkpt | sort -n -k 2 | head -1 | awk '{print $2}'`
e2c=`grep "   $lumo3  " $i | head -$nkpt | sort -n -k 2 | head -1 | awk '{print $2}'`
e2d=`grep "   $lumo4  " $i | head -$nkpt | sort -n -k 2 | head -1 | awk '{print $2}'`
e2e=`grep "   $lumo5  " $i | head -$nkpt | sort -n -k 2 | head -1 | awk '{print $2}'`
e2f=`grep "   $lumo6  " $i | head -$nkpt | sort -n -k 2 | head -1 | awk '{print $2}'`   
 
homo_ref=`awk '/NELECT/ {print $3/2}' $j`
lumo_ref=`awk '/NELECT/ {print $3/2+var+1}' $j`
 
h_ref=`grep "   $homo_ref  " $j | head -$nkpt | sort -n -k 2 | tail -1 | awk '{print $2}'`
l_ref=`grep "   $lumo_ref  " $j | head -$nkpt | sort -n -k 2 | head -1 | awk '{print $2}'`  
 
echo "The band gap (in eV) without zero-point vibrations is:"
echo "$h_ref $l_ref" |awk '{print ($2-$1)}'
echo "The band gap (in eV) including zero-point vibrations is:"
echo "$e1a $e1b $e1c $e2a $e2b $e2c $e2d $e2e $e2f" |awk '{print (($4+$5+$6+$7+$8+$9)/6.0-($1+$2+$3)/3.0)}'
echo "The zero-point renormalization of the band gap (in eV) is:" 
echo "$e1a $e1b $e1c $e2a $e2b $e2c $e2d $e2e $e2f $h_ref $l_ref" |awk '{print (($4+$5+$6+$7+$8+$9)/6.0-($1+$2+$3)/3.0)-($11-$10)}'
 
 
 
 
预期输出示例
3×3×3超胞:
 
The band gap (in eV) without zero-point vibrations is:
4.0729
The band gap (in eV) including zero-point vibrations is:
3.81437
The zero-point renormalization of the band gap (in eV) is:
-0.258533
 
 
4×4×4超胞:
 
The band gap (in eV) without zero-point vibrations is:
4.4049
The band gap (in eV) including zero-point vibrations is:
4.05102
The zero-point renormalization of the band gap (in eV) is:
-0.353883
 
5×5×5超胞结果(更精确):
 
The band gap (in eV) without zero-point vibrations is:
 4.1421 
The band gap (in eV) including zero-point vibrations is:
 3.83717 
The zero-point renormalization of the band gap (in eV) is:
 -0.304933
 
温度依赖计算
在INCAR.init中加入PHON_TLIST = 0.0 100.0 200.0 300.0 400.0 500.0 600.0 700.0
 
 
general:
 System = cd-C
 PREC = Accurate
 ALGO = FAST
 ISMEAR = 0; SIGMA = 0.1;
 IBRION = 6
 PHON_LMC = .TRUE.
 PHON_NSTRUCT = 0
PHON_TLIST = 0.0 100.0 200.0 300.0 400.0 500.0 600.0 700.0
 
 
 
然后执行VASP计算,可获得0-700K内不同温度下的位移POSCAR,分别为
POSCAR.T=0. POSCAR.T=100. POSCAR.T=200. POSCAR.T=300. POSCAR.T=400. POSCAR.T=500. POSCAR.T=600. POSCAR.T=700. 
分别将每个POSCAR进行VASP自洽计算并获得OUTCAR,并重命名为
OUTCAR.T=0
OUTCAR.T=100
OUTCAR.T=200
OUTCAR.T=300
OUTCAR.T=400
OUTCAR.T=500
OUTCAR.T=600
OUTCAR.T=700
 
再通过extract_temp.sh提取计算每个温度下的带隙(相对0K的偏移)输出到 gap_vs_temp.dat
bash ./extract_temp.sh
 
#!/bin/bash 
 
if [ -f gap_vs_temp.dat ]
then
   rm gap_vs_temp.dat
fi
 
touch gap_vs_temp.dat
counter=0
 
for temp in 0 100 200 300 400 500 600 700
do
   i="OUTCAR.T=$temp"
 
   homo1=`awk '/NELECT/ {print $3/2}' $i`
   homo2=`awk '/NELECT/ {print $3/2-1}' $i`
   homo3=`awk '/NELECT/ {print $3/2-2}' $i`
   lumo1=`awk '/NELECT/ {print $3/2+var+1}' $i`
   lumo2=`awk '/NELECT/ {print $3/2+var+2}' $i`
   lumo3=`awk '/NELECT/ {print $3/2+var+3}' $i`
   lumo4=`awk '/NELECT/ {print $3/2+var+4}' $i`
   lumo5=`awk '/NELECT/ {print $3/2+var+5}' $i`
   lumo6=`awk '/NELECT/ {print $3/2+var+6}' $i`
   e1a=`grep "^    $homo1   " $i | head -$nkpt | sort -n -k 2 | tail -1 | awk '{print $2}'`
   e1b=`grep "^    $homo2   " $i | head -$nkpt | sort -n -k 2 | tail -1 | awk '{print $2}'`
   e1c=`grep "^    $homo3   " $i | head -$nkpt | sort -n -k 2 | tail -1 | awk '{print $2}'`
   e2a=`grep "^    $lumo1   " $i | head -$nkpt | sort -n -k 2 | head -1 | awk '{print $2}'`
   e2b=`grep "^    $lumo2   " $i | head -$nkpt | sort -n -k 2 | head -1 | awk '{print $2}'`
   e2c=`grep "^    $lumo3   " $i | head -$nkpt | sort -n -k 2 | head -1 | awk '{print $2}'`
   e2d=`grep "^    $lumo4   " $i | head -$nkpt | sort -n -k 2 | head -1 | awk '{print $2}'`
   e2e=`grep "^    $lumo5   " $i | head -$nkpt | sort -n -k 2 | head -1 | awk '{print $2}'`
   e2f=`grep "^    $lumo6   " $i | head -$nkpt | sort -n -k 2 | head -1 | awk '{print $2}'`   
 
   if [ $temp -eq "0" ]
   then
      ref=`echo "$e1a $e1b $e1c $e2a $e2b $e2c $e2d $e2e $e2f" |awk '{print (($4+$5+$6+$7+$8+$9)/6.0-($1+$2+$3)/3.0)}'`
   fi
 
   echo "$e1a $e1b $e1c $e2a $e2b $e2c $e2d $e2e $e2f $temp $ref" |awk '{print $10,(($4+$5+$6+$7+$8+$9)/6.0-($1+$2+$3)/3.0)-$11}' >> gap_vs_temp.dat
done
 
 
使用gnuplot绘制温度下的带隙偏移
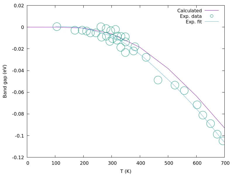
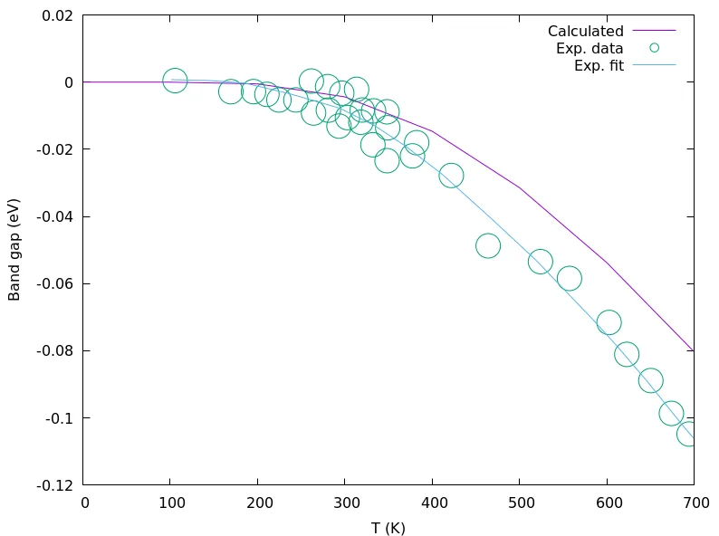
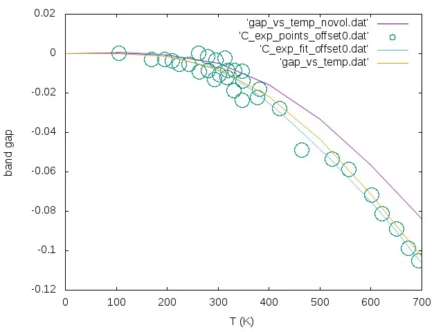
gnuplot -e "set terminal pngcairo size 800,600; set xlabel 'T (K)'; set ylabel 'Band gap (eV)'; set style data lines; plot 'gap_vs_temp.dat' title 'Calculated', 'C_exp_points_offset0.dat' w circles title 'Exp. data', 'C_exp_fit_offset0.dat' title 'Exp. fit'" > gap_vs_temp.png
3×3×3超胞:
1.webp
与实验值对比
2.webp
 
4×4×4超胞
3.webp
 
考虑体积效应的温度依赖性
 
 
通过运行quasi_harm_4x4x4_diamond_create_pos_and_run_vasp.sh脚本在平衡体积±2%范围内生成15个不同体积的POSCAR,并计算每个体积的动力学矩阵。
quasi_harm_4x4x4_diamond_create_pos_and_run_vasp.sh
 
 
vasp_exec=./vasp_gam
 
#please enter the number of processors used for VASP here
np=8
 
cp INCAR.qh INCAR
 
for i in 6.13521592 6.27789536 6.4205748 6.56325424 6.70593368 6.84861312 6.99129256 7.133972 7.27665144 7.41933088 7.56201032 7.70468976 7.8473692 7.99004864 8.13272808            
do
sed "s/7.13397200/${i}/g" POSCAR.4x4x4 > POSCAR_$i
cp POSCAR_$i POSCAR
mpirun -np $np $vasp_exec
 
mv OUTCAR OUTCAR_$i
done
 
 
计算所使用的INCAR.qh
 
general:
 System = cd-C
 PREC = Accurate
 ALGO = FAST
 ISMEAR = 0; SIGMA = 0.1;
 IBRION = 6
 
 
可通过for循环更改缩放系数生成更大更密集的不同体积POSCAR模型,可参考QHA文章
 
for i in $(seq 0.950.0051.05
)#对i赋值0.95到1.05之间,每隔0.005取值。
do
mkdir $i
cp POSCAR  INCAR KPOINTS POTCAR  ./$i
cd ./$
ised '2c '$i'' POSCAR > POS
mv POS POSCAR#修改POSCAR中的缩放系数,并覆盖POSCAR
pwd
 
对所有体积的POSCAR完成计算后,提取能量和体积的数据
bash quasi_harm_4x4x4_diamond_make_energy_vs_volume_plots.sh
生成每个温度下的自由能-体积曲线(OUTTEMP_*)
 
#!/bin/bash
 
bandshift=0
gwrun=-1
dgbd=-1
val=-1
con=-1
gwldadiff=-1
test=-1
while [[ $# -gt 0 ]]
do
   key="$1"
   case $key in
   esac
   shift
done
 
if [ -f "helpscript.perl" ]; then
   rm helpscript.perl
fi
 
 
cat > helpscript.perl  > helpfile.help
   volume=`awk '/volume of cell/ {print $5}' OUTCAR | tail -n 1`
 
   perl helpscript.perl helpfile.help > hhhhelp.txt
   runcount=0
   while read line; do 
      runcount=$((runcount+1))
      if [[ $first -eq 0 ]]; then
         echo $line | awk -v var="$volume" '{print var,$2,$1}' > OUTTEMP_$runcount
      else
         echo $line | awk -v var="$volume" '{print var,$2}' >> OUTTEMP_$runcount
      fi
   done < ./hhhhelp.txt
 
   first=1
done
 
for i in OUTTEMP_*; do
   v2=${i##OUTTEMP_}
   mv OUTTEMP_$v2 OUTHELP
   sort -n -k 1 OUTHELP > OUTTEMP_$v2
done
 
rm helpfile.help
rm helpscript.perl
rm hhhhelp.txt
rm OUTHELP
 
 
运行 quasi_harm_4x4x4_diamond_obtain_fitting.sh用Birch-Murnaghan状态方程拟合输出每个温度下的平衡晶格常数
bash quasi_harm_4x4x4_diamond_obtain_fitting.sh
 
#!/bin/bash
 
for i in OUTTEMP_*
do
   cp $i OUTTEMP.current 
   #extract temperature
   temp=`head -n 1 OUTTEMP.current|awk '{print $3}'`
   #do fitting
   gnuplot -e "E(V)=E0+9.0/8.0*B0*V0*((V0/V)**(2.0/3.0)-1)**2 + 9.0/16.0*B0*\
      (B0P-4)*V0*((V0/V)**(2.0/3.0)-1.0)**3.0 + R*((V0/V)**(2.0/3.0)-1.0)**4.0;\
      B0P = 1;B0 = 1;V0 = 720;E0 = -1150;R  = -1.0;fit E(x) 'OUTTEMP.current'  u 1:2 via B0P,B0,V0,E0,R" &> suppress_output
   #extract volume from fit
   a=`grep "V0" fit.log|grep "=" |tail -n 1|awk '{print ($3/2.0)**(1.0/3.0)}'` 
   #print temperature and volume to 
   echo "temperature: $temp, a_latt: $a" 
done
 
rm suppress_output
rm OUTTEMP.current
 
 
 

  •  
  •  
  •  
  •  
  •  
  •  
  •  
  •  
  •  
  •  
  •  
  1. $ sh quasi_harm_4x4x4_diamond_obtain_fitting.shtemperature: 0.00000000e+00, a_latt: 7.18018temperature: 1.00000000e+02, a_latt: 7.18021temperature: 2.00000000e+02, a_latt: 7.18072temperature: 3.00000000e+02, a_latt: 7.18276temperature: 4.00000000e+02, a_latt: 7.18623temperature: 5.00000000e+02, a_latt: 7.19049temperature: 6.00000000e+02, a_latt: 7.19507temperature: 7.00000000e+02, a_latt: 7.19976temperature: #NOTEMP, a_latt: 7.15218
复制代码
 
用新的晶格常数更新各POSCAR.T=*文件,重新运行温度依赖计算,体积效应会使带隙随温度下降更快,更接近实验值
 
4.webp
 

来源:程序园用户自行投稿发布,如果侵权,请联系站长删除
免责声明:如果侵犯了您的权益,请联系站长,我们会及时删除侵权内容,谢谢合作!

相关推荐

您需要登录后才可以回帖 登录 | 立即注册