找回密码
 立即注册
首页 业界区 安全 RSA加密

RSA加密

讣丢 2 小时前
java开发中rsa公钥和私钥如何生成的 生成RSA公钥和私钥的方案在Java开发中,RSA算法是一种常用的非对称加密算法,可用于数据加密和数字签名。在实际应用中,我们通常需要生成RSA公钥和私钥对,以便进行加密和解密操作。本文将介绍如何在Java开发中生成RSA公钥和私钥,并提供代码示例来演示具体实现。 RSA公钥和私钥生成流程生成RSA公钥和私钥的流程如下:    1.生成RSA密钥对,包括一个公钥和一个私钥。    2.将公钥用于加密数据,私钥用于解密数据。代码示例以下是一个Java代码示例,演示如何生成RSA公钥和私钥:
  1. import java.security.KeyPair;
  2. import java.security.KeyPairGenerator;
  3. import java.security.NoSuchAlgorithmException;
  4. public class RSAKeyGenerator {
  5.     public static void main(String[] args) {
  6.         try {
  7.             KeyPairGenerator keyPairGenerator = KeyPairGenerator.getInstance("RSA");
  8.             keyPairGenerator.initialize(2048); // 指定RSA密钥长度为2048位
  9.             KeyPair keyPair = keyPairGenerator.generateKeyPair();
  10.             System.out.println("RSA公钥:" + keyPair.getPublic());
  11.             System.out.println("RSA私钥:" + keyPair.getPrivate());
  12.         } catch (NoSuchAlgorithmException e) {
  13.             e.printStackTrace();
  14.         }
  15.     }
  16. }
复制代码
 
https://www.ruanyifeng.com/blog/2013/07/rsa_algorithm_part_two.html公开密钥加密公开密钥加密(public-key cryptography),也成为非对称加密,是密码学的一种算法,他需要两个密钥,一个是公开密钥,另一个是私有密钥,一个用作加密的时候,另一个则用作解密。    明文:需要加密的内容,成为明文。    密文:使用密钥把明文加密后的内容。只能用相应的另一个密钥才能解密得到原来的明文。甚至连最初用来加密的密钥也不能用作解密。对称加密&&非对称加密    对称加密:加密和解密都是用同一个密钥的算法,称作对称加密。    
1.png
    非对称加密:加密和解密需要不同的密钥。    
2.png
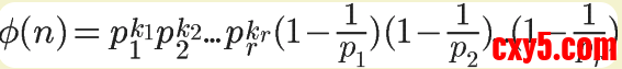
因为公钥加密的信息只用私钥才能解的开,所以只要私钥不泄露,通信就是安全的。今天这里只介绍RSA非对称加密。 加密过程在数学上d(c(x))=x,来表示加密解密过程。这里我们使用典型的爱丽丝与鲍勃假设来解释(来自维基)。1.爱丽丝与鲍勃事先互不认识,也没有可靠安全的沟通渠道,但爱丽丝现在却要通过不安全的互联网向鲍勃发送消息。2.爱丽丝撰写好原文,原文在未加密的状态下称之为明文x。3.鲍勃使用密码学安全伪随机数生成器产生一对密钥,其中一个作为公钥c,另一个作为私钥d.4.鲍勃可以用任何方法发送公钥c给爱丽丝,即使伊夫在中间窃听到c也没关系。5.爱丽丝用公钥c把明文x进行加密,得到密文c(x).6.爱丽丝可以用任何方法传输密文c(x)给鲍勃,即使伊夫在中间窃听到密文c(x)也没问题。7.鲍勃收到密文,用自己的私钥d对密文进行解密d(c(x)),得到爱丽丝撰写的明文x.8.由于伊夫没有得到鲍勃的私钥d,所以无法得知明文x.9.如果爱丽丝丢失了她自己撰写的原文x,在没有得到鲍勃的私钥d的情况下,她的处境将等同伊夫,既无法通过鲍勃的公钥c和密文c(x)重新得到原文x在正式介绍RSA之前,先介绍一些数学知识。 互质关系如果两个正整数,除了1之外没有其他公因子,我们称这两个数是互质关系。比如15和32,说明不是质数也可以构成互质关系。关于互质关系,有以下结论:任意两个质数构成互质关系,比如13和61.一个数是质数,另一个数只要不是前者的倍数,两者就构成互质关系,比如3和10.如果两个数中,较大的那个数是质数,则两者构成互质关系,比如97和57.1和任意一个自然数都是互质关系。p是大于1的整数,则p和p-1构成互质关系,比如57和56.p是大于1的奇数,则p和p-2构成互质关系,比如17和15. 欧拉函数任意给定正整数n,计算在小于等于n的正整数之中,有多少个与n构成互质关系。计算这个值的方法叫做欧拉函数。以φ(n)表示。如φ(8)=4,应为在1到8之中,与8形成互质关系的有1,3,5,7。φ(n)的计算方法并不复杂,我们就分情况分析。第一种情况:如果n=1,则φ(1)=1。应为1与任何(包括自己)都构成互质关系。第二种情况:如果n是质数,则φ(n)=n-1。应为质数与每个小于他的数都构成互质关系。第三种情况:如果n是质数的某一个次方,即n=p^k(p为质数,k>=1),则
3.png
如φ(8)=φ(2^3)=2^3-2^2=4。这是应为只有当一个数不包含质数p时,才能与n互质。而包含质数p的数一共有p^(k-1)个,即是1*p、2*p、...、p^(k-1)*p。上面的式子还可以写成:
4.png
第四种情况:n可以分解成两个互质的整数之积。n = p1 * p2则 φ(n)=φ(p1p2)=φ(p1)φ(p2)即积的欧拉函数等于各个因子的欧拉函数之积。如:φ(56)=φ(7*8)=φ(7)*φ(8)=6*4=24第五种情况:因为任意大于1的整数,都可以写成一系列质数的积。
5.png
根据第四条结论:
6.png
在根据第三条结论:
7.png
也就等于:
8.png
比如:φ(1323)=φ(3^2*7^2)=1323(1-1/3)(1-1/7)=756 欧拉定理欧拉定理是指:如果两个正整数a和n互质,则n的欧拉函数φ(n)可以让下面的式子成立:
9.png
即是a的φ(n)次方减去1,被n整除。比如,3和7互质,φ(7)=6,(3^6-1)/7=104如果正整数a与质数p互质,应为φ(p)=p-1,所以欧拉函数可写成:
10.png
这个就是著名的费马小定理。 模反元素如果两个正整数a和n互质,那么一定可以找到整数b,使得 ab-1 被n整除。
11.png
比如:3和11互质,那么3的模反元素是4,应为3*4-1 可以被11整除。4加减11的整数倍数都是3的模反元素。欧拉定理可以用来证明模反元素必然存在:
12.png
可以看到,a的φ(n)-1次方,就是a的模反元素。 RSA算法RSA算法之一种非对称加密算法。具体的加密工程如下:依然使用Alice和他的小伙伴来举例子。假设Alice想通过一个不可靠的媒体接受Bob的一条私人消息,他可以用下面的方式产生一个公钥和私钥。1. 随意选择两个大的质数p和q,p不等于q,计算N = pq.2. 根据欧拉函数,求得r=φ(N)=φ(p)φ(q)=(p-1)(q-1)。3. 选择一个小于r的整数e,是e与r互质。并求得e关于r的模反元素,命名为d。(求d令ed≡1(mod r))。(模反元素存在,当且仅当e与r互质)4. 将p和q的记录销毁。其中(N,e)是公钥,(N,d)是私钥。举个例子:1. Alice随机选两个不相等的质数61和53,并计算两数的积N=61*53=3233,N的长度就是密钥长度。3233的二进制是110010100001,一共12位,所以这个密钥就是12位。实际应用中,RSA密钥一般是1024位,总要的场合是2048位。2. 计算N的欧拉函数。 φ(N)=(p-1)(q-1)=60*52=3120.3. Alice 在1到3120上随机选择了一个随机数e=17。4. 计算e对φ(N)的模反元素d,即时,ed-1=kφ(N)。即使求解:17x+3120y=1.用扩展欧几里得算法求解。可以算出一组解(x,y)=(2753,-15),即d=2753。至此完成计算。其中N=3233,e=17,d=2753。所以公钥就是(N,e)=(3233,17),私钥(N,d)=(3233,2753)。实际应用中公钥和私钥都是采用ASN.1格式表达的。 RSA的可靠性在RSA私钥和公钥生成的过程中,共出现过p,q,N,φ(N),e,d,其中(N,e组成公钥),其他的都不是公开的,一旦d泄露,就等于私钥泄露。那么能不能根据N,e推导出d呢?ed ≡ 1(mod φ(N))。只有知道e和φ(N),才能算出dφ(N)=(p-1)(q-1)。只有知道p和q,才能算出φ(N)n=pq,只有将n分解才能算出p和q所以,只有将n质因数分解,才能算出d。也就意味着私钥破译。但是,大整数的质因数分解是非常困难的。 加密和解密加密加密要用到公钥(N,e)。    假设Bob要向Alice发送加密信息m,他就要用Alice的公钥(N,e)对m进行加密。但m必须是整数(字符串可以取ascii值或unicode值),且m必须小于n。所谓加密就是计算下式的c。m^e ≡ c (mod n)假设m=65,Alice的公钥(3233,17),所以等式如下:65^17≡2790(mod 3233)所以c等于2790,Bob就把2790发给Alice。解密Alice收到Bob发来的2790后,就用自己的私钥(3233,2755)进行解密。 c^d ≡ m (mod n)也就是c的d次方除以n的余数就是m。2790^2753 ≡ 65 (mod 3233)因此得到原文65。 

证明

记下来证明为什么用私钥就能解密。就是要证明这个式子: c^d ≡ m (mod n)因为加密规则是:m^e ≡ c (mod n)于是,c可以写成:c = m^e - kn将c代入要我们要证明的那个解密规则: (m^e - kn)^d ≡ m (mod n)等同于求证:m^ed ≡ m (mod n)因为:ed ≡ 1 (mod φ(n))所以: ed = hφ(n)+1将ed代入:m^(hφ(n)+1) ≡ m (mod n)接下来,分成两种情况证明上面这个式子。1. 当m与n互质根据欧拉定理,此时m^φ(n) ≡ 1 (mod n)得到m^φ(n))^h × m ≡ m (mod n)由此原始得到证明。2. 当m与n不是互质时此时,由于n等于质数p和q的乘积,所以m必然等于kp或kq。以 m = kp为例,考虑到这时k与q必然互质,则根据欧拉定理,下面的式子成立:(kp)^q-1 ≡ 1 (mod q)进一步得到:[(kp)^(q-1)]^(h(p-1))× kp ≡ kp (mod q)即:(kp)^ed ≡ kp (mod q)改写成:(kp)^ed = tq + kp上式t必然能被p整除,即t=t'p(kp)^ed = t'pq + kp因为m=kp,n=pq,所以:m^ed ≡ m (mod n)证明完毕。 
来源:程序园用户自行投稿发布,如果侵权,请联系站长删除
免责声明:如果侵犯了您的权益,请联系站长,我们会及时删除侵权内容,谢谢合作!

相关推荐

您需要登录后才可以回帖 登录 | 立即注册