登录
/
注册
首页
论坛
其它
首页
科技
业界
安全
程序
广播
Follow
关于
导读
排行榜
资讯
发帖说明
登录
/
注册
账号
自动登录
找回密码
密码
登录
立即注册
搜索
搜索
关闭
CSDN热搜
程序园
精品问答
技术交流
资源下载
本版
帖子
用户
软件
问答
教程
代码
写记录
写博客
小组
VIP申请
VIP网盘
网盘
联系我们
发帖说明
道具
勋章
任务
淘帖
动态
分享
留言板
导读
设置
我的收藏
退出
腾讯QQ
微信登录
返回列表
首页
›
业界区
›
安全
›
【OpenGL ES】光栅化插值原理和射线拾取原理 ...
【OpenGL ES】光栅化插值原理和射线拾取原理
[ 复制链接 ]
羔迪
2025-10-8 18:20:22
程序园永久vip申请,500美金$,无限下载程序园所有程序/软件/数据/等
1 前言
最近在推导光栅化插值公式和射线拾取公式,发现计算过程中有很多共同点,因此将它们放在一篇文章里介绍。具体共同点如下。
都引入了四面体模型
都以四面体的三条边作为基向量构建坐标系(非直角坐标系)
都需要求解射线向量在基向量上的坐标
2 光栅化插值原理
光栅化要解决的问题:如下图,已知三角形的三个顶点的坐标及其他属性(如颜色、纹理坐标、法线向量、切线向量、副切线向量等),对于三角形内任意一点,若已知其坐标,求该点的颜色、纹理坐标等属性的值。
进一步细化问题:如下图,O 点是坐标原点,已知 A、B、C、Q 4 个点的坐标,假设 Q = x · A + y · B + z · C,求 x 、y、z 的值。
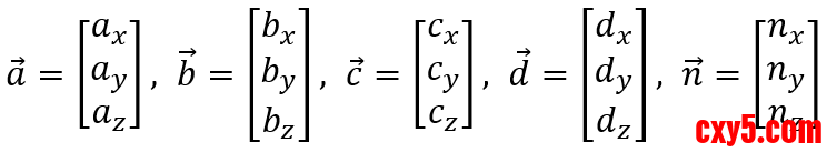
定义向量如下。
向量 d 可以用向量 a、b、c 线性表示如下。
使用矩阵表示如下。
求解向量 m 如下。
说明如下:
向量 m 的几何含义是:若以向量 a、b、c 为坐标轴建立坐标系(非直角坐标系),向量 m 表示向量 d 在该坐标系下的坐标。
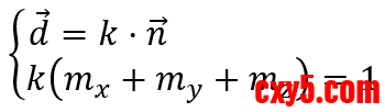
由于 Q 点在 ΔABC 的内部,因此
mx + my + mz = 1
,并且
mx >= 0、my >= 0、mz >= 0
(第一象限)。
如果
mx = my = mz = 1 / 3
,则 Q 点一定是
ΔABC 的重心
。
为简化计算,可以使用以下数学工具。
对于线性方程组 A·x=b,根据克拉默法则可以求解:xi = |Bi| / |A|,其中 Bi 是将矩阵 A 的第 i 列替换为 b 向量后的矩阵。
假设 3x3 矩阵 A 由 a、b、c 三个列向量组成,则 |A| = a x b · c。
2 射线拾取原理
参考:直线与三角形相交Moller Trumbore算法推导。
如下图,已知 A、B、C、P 4 个点的坐标,向量 n 是由 P 点发射的单位方向向量,Q 点是向量 n 与 ΔABC 的交点,求 Q 点坐标。由于 Q = P + d,因此本节只求向量 d 的坐标。
定义向量如下。
向量 n 可以用向量 a、b、c 线性表示如下。
使用矩阵表示如下。
求解向量 m 如下。
如果 mx、my、mz 中有一个为负数,说明交点 Q 一定在 ΔABC 外部;如果 mx + my + mz = 0,说明向量 m 与 ΔABC 平行。
由于向量 d 与向量 a 线性相关,并且 Q 点在 ΔABC上,可以得出以下方程,求解后即可得到向量 d 的坐标。
声明:本文转自【OpenGL ES】光栅化插值原理和射线拾取原理。
来源:程序园用户自行投稿发布,如果侵权,请联系站长删除
免责声明:如果侵犯了您的权益,请联系站长,我们会及时删除侵权内容,谢谢合作!
原理
OpenGL
ES
光栅
插值
相关帖子
【节点】[Adjustment-ChannelMixer节点]原理解析与实际应用
【节点】[Adjustment-Contrast节点]原理解析与实际应用
【节点】[Adjustment-InvertColors节点]原理解析与实际应用
【节点】[Adjustment-ReplaceColor节点]原理解析与实际应用
【节点】[Adjustment-Saturation节点]原理解析与实际应用
【节点】[Adjustment-WhiteBalance节点]原理解析与实际应用
具身智能:零基础入门睿尔曼机械臂(五)—— 手眼标定核心原理与数学求解
【节点】[RGBtoLuminance节点]原理解析与实际应用
嵌入式UI框架的渐变原理、渐变算法
【节点】[LinearToGammaSpaceExact节点]原理解析与实际应用
回复
使用道具
举报
提升卡
置顶卡
沉默卡
喧嚣卡
变色卡
千斤顶
照妖镜
相关推荐
安全
【节点】[Adjustment-ChannelMixer节点]原理解析与实际应用
2
969
宁觅波
2025-12-10
安全
【节点】[Adjustment-Contrast节点]原理解析与实际应用
1
298
仲水悦
2025-12-11
安全
【节点】[Adjustment-InvertColors节点]原理解析与实际应用
2
960
彭水晶
2025-12-13
安全
【节点】[Adjustment-ReplaceColor节点]原理解析与实际应用
0
836
高小雨
2025-12-15
安全
【节点】[Adjustment-Saturation节点]原理解析与实际应用
1
244
啦汇
2025-12-15
安全
【节点】[Adjustment-WhiteBalance节点]原理解析与实际应用
0
355
明思义
2025-12-16
安全
具身智能:零基础入门睿尔曼机械臂(五)—— 手眼标定核心原理与数学求解
0
938
利怡悦
2025-12-18
安全
【节点】[RGBtoLuminance节点]原理解析与实际应用
1
449
趣侮
2025-12-18
业界
嵌入式UI框架的渐变原理、渐变算法
0
938
颖顿庐
2025-12-19
安全
【节点】[LinearToGammaSpaceExact节点]原理解析与实际应用
0
160
欧阳梓蓓
2025-12-20
回复
(1)
柏雅云
2025-10-12 14:57:07
回复
使用道具
举报
照妖镜
猛犸象科技工作室:
网站开发,备案域名,渗透,服务器出租,DDOS/CC攻击,TG加粉引流
感谢,下载保存了
高级模式
B
Color
Image
Link
Quote
Code
Smilies
您需要登录后才可以回帖
登录
|
立即注册
回复
本版积分规则
回帖并转播
回帖后跳转到最后一页
签约作者
程序园优秀签约作者
发帖
羔迪
2025-10-12 14:57:07
关注
0
粉丝关注
17
主题发布
板块介绍填写区域,请于后台编辑
财富榜{圆}
3934307807
991124
anyue1937
9994892
kk14977
6845358
4
xiangqian
638210
5
韶又彤
9997
6
宋子
9981
7
闰咄阅
9993
8
刎唇
9993
9
俞瑛瑶
9998
10
蓬森莉
9950
查看更多
今日好文热榜
185
2025年儿童羽绒服十大名牌排名:宝妈选购指
308
2025年儿童羽绒服十大名牌排名:宝妈选购指
754
Flink源码阅读:如何生成ExecutionGraph
413
Github项目CI&CD部署
311
AgentScope深入分析-LLM&MCP
597
《痞子衡嵌入式半月刊》 第 120 期
626
go项目使用go build 与 MakeFile 构建项目
765
监控指标与容量预警——延迟、命中率、慢查
673
2026 年别墅防水服务商 TOP5 推荐:高端住
963
MAUI库推荐二:MPowerKit
962
.NET10 New feature 新增功能介绍-JIT编译
404
报考陪诊师选守嘉陪诊的理由
272
C#AI系列(7):从零开始LLM之Tokenizer实现
286
C#AI系列(7):从零开始LLM之Tokenizer实现
827
Pytest 测试用例自动生成:接口自动化进阶
848
一天一个Python库:NumPy - 科学计算的基石
16
FFmpeg 内存输入&输出
745
一文读懂RAG架构如何助力AI
500
一文读懂RAG架构如何助力AI
549
ROS2之TF介绍