登录
/
注册
首页
论坛
其它
首页
科技
业界
安全
程序
广播
Follow
关于
导读
排行榜
资讯
发帖说明
登录
/
注册
账号
自动登录
找回密码
密码
登录
立即注册
搜索
搜索
关闭
CSDN热搜
程序园
精品问答
技术交流
资源下载
本版
帖子
用户
软件
问答
教程
代码
写记录
写博客
小组
VIP申请
VIP网盘
网盘
联系我们
发帖说明
道具
勋章
任务
淘帖
动态
分享
留言板
导读
设置
我的收藏
退出
腾讯QQ
微信登录
社区
›
业界区
›
安全
安全
今日:
86
|
主题:
10304
收藏本版
(
0
)
推荐主题
旅居云南第69天,接上篇讲下我切换城市的过程
读人形机器人02人形机器人简史
读商战数据挖掘:你需要了解的数据科学与分析思维03数据挖掘流程
用户案例 | 某商业银行引入白鲸调度系统实现系统升级与业务场景深度支持
linux 挂载硬盘报错 "mount: unknown filesystem type 'ntfs'"
Redis数据库
SkyEye与Jenkins的DevOps持续集成解决方案
读数据工程之道:设计和构建健壮的数据系统21数据获取
Vercel-从零到上线的云端部署神器
Go 1.8 相比 Go 1.7 有哪些值得注意的改动?
PyTorch中的take_along_dim
新窗
综合排序
最新主题
热门推荐
精选内容
再谈AI与程序员: AI 写的代码越来越多,那我们还需要开发者吗?
...
2
作者:Derek McBurney Anthropic 的 CEO 说,AI 在 3 到 6 个月内将写出 90% 的代码。他说出这种话是有很强的动机的——数字和时间线都这么惊人,这种说法很可能又是一个被炒作的噱头,在这个行业里这种现象太常见了。但我们也知道,这 ...
坪钗
2026-3-11 06:57
841
0
30
项目管理软件哪家最值得点赞?10款对比:2025最新榜单出炉!
...
2
项目管理软件在现代企业中的地位越来越重要,它不仅能够帮助团队高效完成任务,还能提升整体工作效率和协作能力。在当今市场中,无论是国际巨头如Jira、Asana,还是国内老排如禅道,都在为用户提供各类项目管理解决方案。本篇文章将对比 ...
柯惠心
2026-3-11 06:57
1015
0
38
深度学习基础从0到0.1
...
2
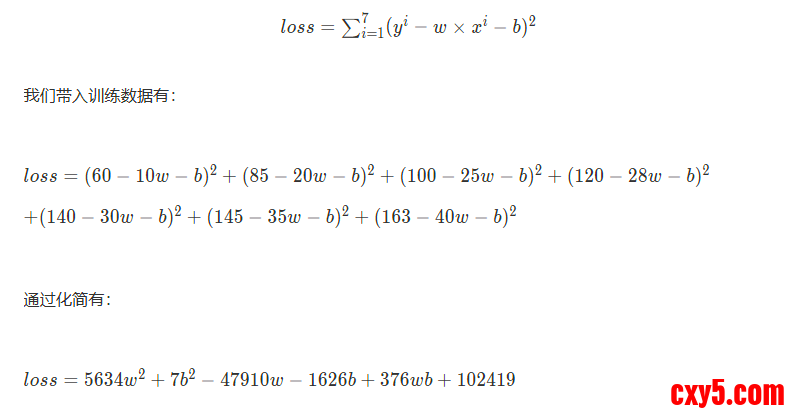
线性回归 一元线性回归 线性回归,公式为Y=Wx+b,这里简单一点,假设偏置b=0,我们设置损失函数为loss=(y-yi)²,y是真实值,yi是预测值,代入可得loss=(y-W*x)²,带入x的值和y的值即可得到最终的loss函数,而后求其导数,导数为0时可 ...
疝镜泛
2026-3-11 06:57
428
0
30
蚁景科技应邀出席2025年网络安全技术创新与人才教育大会 共促网安人才生态建设
...
2
2025 年 8 月 9 日,在湖南长沙,一场网络安全领域的盛会 ——“2025 年网络安全技术创新与人才教育大会” 圆满落下帷幕。本次大会由中国网络空间新兴技术安全创新论坛(新安盟)、中国网络空间安全人才教育论坛(网教盟)、中国教育网络 ...
旌磅箱
2026-3-11 06:57
777
0
33
<HarmonyOS第一课 高级03>应用性能优化实践 #鸿蒙课程##鸿蒙生态#
...
2
课程介绍 本课程《应用性能优化实践》专注于HarmonyOS平台下的应用性能提升。课程将详细介绍ArkTS高性能编程技巧,包括使用AOT模式进行编译优化,以及遵循ArkTS编码规则以生成更高性能的机器码。同时,课程将探讨如何提升应用的启动 ...
桂册
2026-3-11 06:57
620
0
35
鸿蒙 HarmonyOS NEXT 系统 Preference 首选项使用全解析
...
2
大家好,我是威哥。在鸿蒙应用开发里,用户偏好设置的管理是极为重要的一环。HarmonyOS为我们提供了Preference组件,它能让我们轻松实现应用设置界面,对用户首选项进行高效管理。接下来,我会深入剖析Preference的使用细节,并且结合实 ...
洪思思
2026-3-11 06:54
1125
0
34
单片机的内部资源以及最小系统
...
2
单片机的内部资源 [*]Flash--程序存储空间,早期单片机是OTPROM [*]RAM--数据存储空间 [*]SFR--特殊功能寄存器 Flash 在早期的单片机中,主要是用OTPROM(One Time Programmable Read-Only Memory,即一次可编程只读存储器)来存储单 ...
准挝
2026-3-11 06:54
708
0
29
中国象棋-纯享版
...
2
最近在玩象棋,各类象棋小程序进去总是弹广告,要么充钱要么看广告,体验极差,想着是不是自己开发一款随时可玩的。 于是乎,有了下文...以及在线体验地址 https://xiangqi.taadis.com/ 游戏介绍 在繁忙的生活节奏中,你是否渴望找到一 ...
贺蛟亡
2026-3-11 06:54
734
0
30
PriorityQueue的秘密:堆结构的高效应用与实现原理
...
2
介绍 优先级队列的作用是能保证每次取出的元素都是队列中权值最小(或最大)的。这里元素大小的评判可以通过元素本身的自然顺序(natural ordering),也可以通过构造时传入的比较器(Comparator)。 Java中PriorityQueue实现了Queue接口,不 ...
松菊
2026-3-11 06:54
1043
0
24
关于地图渲染加20w数据展示和地图动画怎么做
...
2
来源:程序园用户自行投稿发布,如果侵权,请联系站长删除 免责声明:如果侵犯了您的权益,请联系站长,我们会及时删除侵权内容,谢谢合作!
晁红叶
2026-3-11 06:54
81
0
22
【机器人】—— 3. ROS 架构 & 文件系统
...
2
1. ROS 架构 到目前为止,我们已经安装了 ROS,运行了 ROS 中内置的小乌龟案例,并且也编写了 ROS 小程序,对 ROS 也有了一个大概的认知,当然这个认知可能还是比较模糊并不清晰的,接下来,我们要从宏观上来介绍一下 ROS 的架构设 ...
蜴间囝
2026-3-11 06:54
745
0
36
openGauss 6.0.0-LTS企业版在openEuler-20.03-LTS下的安装
...
2
实践环境 openGauss 6.0.0 LTS 企业版 下载地址:https://opengauss.org/zh/download/archive/ openEuler-22.03-LTS-SP4-x86_64-dvd.iso 下载地址:https://www.openeuler.org/zh/download/?archive=true https://mirror-nist.isrc.ac.c ...
骂治并
2026-3-11 06:54
257
0
29
学系统集成项目管理工程师(中项)系列04c_项目管理一般知识(下)
...
2
1. 信息系统项目的生命周期模型 1.1. 瀑布模型 1.1.1. 预测型生命周期、完全计划驱动型生命周期 1.1.2. 项目需求明确、充分了解拟交付的产品、有厚实的行业实践基础、或者整批一次性交付产品有利于干系人 1.2. 迭代模型 1.2.1 ...
劳暄美
2026-3-11 06:54
496
0
34
码城|计算机专业的00后转行数据分析,还有机会吗?【悟空非空也】
...
2
计算机背景学习数据分析是有优势的。数据分析需要一些技术基础,简单点的话,需要会使用 Excel ,复杂点会用 Python 进行数据挖掘和数据分析 ,当然SQL语句一定要会,自己多练习。如果再懂点深度学习,那就更加厉害啦。有计算机底子,学 ...
求几少
2026-3-11 06:53
810
0
28
当CRM系统不堪重负,重药集团如何通过OceanBase实现“实时精准营销”?
作者:张红霞,青岛雨诺网络信息股份有限公司新零售产品部总监 摘要: 随着CRM会员系统的使用时间拉长,重药集团底层的传统数据库逐渐难以满足复杂数据的高效处理需求。面对海量交易和多维度行为数据的汇聚,需采用具备高可用、强一致 ...
频鹏凶
2026-3-11 06:53
109
0
7
软系统工程方法论——系统研究精要与操作(Operation)步骤
...
2
“先整体、后部分,先目标、后路径,先问题、后解决”精准概括了系统科学的方法论核心,也体现了系统工程区别于传统学科分析方法的独特视角与逻辑结构。 “先整体、后部分”体现的是系统思维中对全局结构与功能的优先关注。在复杂系统中 ...
骂治并
2026-3-11 06:53
671
0
28
【2026 最新教程】Java 自动化提取 PDF 表格:从文本到 Excel/CSV 的全场景实现
...
2
随着企业数据自动化的需求日益激增,提取 PDF 中的表格的需求也越来越受到重视。尽管此前我们就发布过使用 Java 提取 PDF 中的表格,并保存为 Text 文件的教程,但显然,简单的文本提取难以满足复杂的数据分析场景。 在处理财务报表、供 ...
扎先
2026-3-11 06:53
478
0
24
数字化价值四阶方法论:焕新 IT 团队活力
...
2
在企业数字化转型迈向深水区的当下,数字化投入本应是业务增长的明证 —— 服务器扩容支撑了订单峰值,系统迭代优化了用户体验,每一分投入都该和业务增长同频共振。 可很多企业管理者却在纠结:数字化投入花了不少,却算不清到底撬动 ...
请蒂
2026-3-11 06:53
970
0
37
新漏洞出现了!当心手机变窃听器
...
2
关闭手机听筒就能防止窃听吗?随着语音助手和相关应用的普及,人们越来越担心自己的智能手机被窃听。 之前的实验表明,智能手机中的陀螺仪和加速度计等惯性测量单元(IMU),可以通过检测声波振动监听对话。这意味着,即使一个没有开启 ...
瞪皱炕
2026-3-11 06:53
197
0
30
Luogu P1445 [Violet] 樱花 题解
前言 题目传送门 Luogu P1445 [Violet] 樱花 最好写蓝题。 题意 求不定方程 \[\frac{1}{x} + \frac{1}{y} = \frac{1}{n!}\] 的正整数解 \((x,y)\) 的数量。 答案对 \(10^9+7\) 取模。保证 \(1\le n\le 1\times 10^6\) 。 思路 首先, ...
椎蕊
2026-3-11 06:53
524
0
7
下一页 »
1 ...
177
178
179
180
181
182
183
184
... 516
/ 516 页
下一页
返 回
快速发帖
还可输入
80
个字符
高级模式
B
Color
Image
Link
Quote
Code
Smilies
您需要登录后才可以发帖
登录
|
立即注册
本版积分规则
发表帖子
转播给听众
发帖
安全
收藏
10304
本版主题
0
收藏人数
板块介绍填写区域,请于后台编辑
财富榜{圆}
3934307807
991125
anyue1937
9994892
kk14977
6845359
4
xiangqian
638210
5
神泱
9537
6
韶又彤
9911
7
宋子
9879
8
荪俗
9022
9
诀锺
9036
10
注思
9029
查看更多
社区公告
本月热榜
240
AI 资讯周报 | 2026年2月23日 - 2月28日
609
厉害的网安人才都学什么?
925
瑞云渲染大赛官网报名入口及参赛指南(参赛
647
再论软性均衡:作为演化伦理学的元规则——
43
Gemini 说RF RACER与道普安开启千匹GT制动
66
用 C4 模型整合用例建模的全面指南
960
广东宿卫安保服务|智慧综合管理系统提效案
779
预算砍半,信心翻倍?腾势Z9GT底盘制动升级
850
Vibe Coding的致命隐患:你必须知道的技术
594
空论:AI元人文的源初场域与意义根基 ——
231
001:LangChain的LCEL语法学习
554
在 Mac 电脑上连接小米手机传输文件
982
H2O-3反序列化漏洞分析(CVE-2025-6507&CVE
844
AI开发-python-milvus向量数据库(2-15 -mi
366
openclaw新手skill推荐: openclaw-newbie-f
963
ManimCE v0.20.1 发布:LaTeX 渲染修复与动
796
《ESP32-S3使用指南—IDF版 V1.6》第六章
62
Module-Lattice-Based Key-Encapsulation M
30
新能源重载GT底盘极限挑战:热衰减与制动系
248
吉特日化MES_如何破解行业配料难题
浏览过的版块
业界