找回密码
 立即注册
首页 业界区 安全 一名全栈工程师的技术实践之路

一名全栈工程师的技术实践之路

睁扼妤 2025-10-10 12:45:49
1.png
  1. 本文比较系统的介绍了什么是全栈以及全栈开发的具体步骤和实践,最后分享了作者做全栈的心得体会。
复制代码
 
一、前言
1.1 什么是全栈
全栈开发是指开发人员掌握了前端、后端以及数据库等多个领域的知识和技能,能够独立完成整个项目的开发工作。在需求交付过程中,可以负责从项目的前期分析、设计到后期开发、测试、发布等整个过程,能够快速定位和解决问题,提高开发效率和产品质量。1.2 为什么做全栈
我认为全栈的推进是环境变化、技术发展导致的必然结果,全栈带来的好处主要有两方面:

  • 降低沟通成本,提升交付效率:精细化分工导致的结果是协同成本大大增加,尤其是对于跨多个团队的项目,每个开发可能找对接的同学都得找好几个人才能找到,影响整体的需求交付效率。当下,由单人或单团队完成需求的闭环开发,降低协同或许是提升产品交付效率的最快方式。
  • 从全局视角加深领域专业度、增强个人竞争力:首先,无论是前端技术、客户端技术还是服务端技术,研发平台、框架、规范都基本定型,学习成本降低;其次,通过学习全栈技术,可以增加技术视角的广度,未来进行开发工作时,不再偏居一隅,可以从整个项目的角度出发,设计更合理的架构;最后,未来市场需要的也是全栈型开发同学,在《Stack Overflow 2021 全球8W名开发者调查报告》显示排名前三分别是:全栈工程师(49.7%)、后端工程师(43.7%)、前端工程师(27.4%)。
二、全栈需求开发SOP
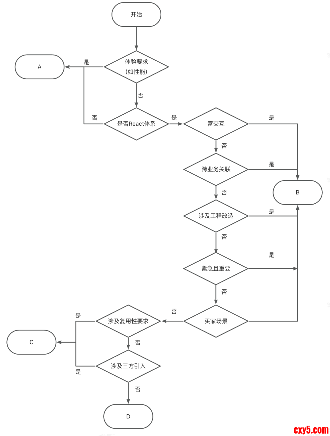
全栈技能不是无中生有,需要每个开发学习跨栈知识,并且不断实践,才能实现全栈开发、独立交付需求。为此,推行了一套比较标准的需求落地SOP,保证需求的交付质量。2.1 需求分级
分级标准将所有的跨栈需求划分为A、B、C、D四个等级,具体定义如下:
等级描述
A

  • 涉及的页面、模块有较高的体验要求(如性能、还原度),对前端专业知识有深度要求
  • 涉及的页面、模块有特殊的前端工程体系,与主流方案不同且上手成本很高
B

  • 需求涉及富交互的页面、模块,对页面状态管理和组件通信等要求较高
  • 开发的页面、模块与其他业务系统存在集成/被集成关系(跨业务关联)
  • 相关需求涉及对当前工程配置的改动,可能影响整个应用
  • 其他未归为A类的前台买家场景需求
C

  • 相关功能需沉淀可复用组件以复用至同业务中其他场景
  • 涉及第三方工具、组件、模块引入的需求,兼容性不明确
D

  • 简单的增删改查,针对数据操作的用户界面
  • 可通过简单复用完成开发的页面、模块
  • 可通过生产力工具快速搭建的页面、模块
  • 技术平台及运营配置平台的相关功能开发
  • 其他未归为A、B、C类的需求
分级流程
2.png
2.2 需求评估
对全栈需求的评估主要分为以下四步:

  • 前端同学根据需求分级流程完成需求定级
  • 与专业前端协商后指定需求承接同学
  • 承接同学评估工时
  • 工时对焦及优化(专业前端、承接同学)
2.3 需求开发 & 发布
需求开发 & 发布将以一个全栈需求实践为例进行介绍,详见第3章,主要可以分为以下几步:

  • 准备工作
  • 代码开发
  • 本地调试
  • 发布
2.4 需求质量保障
全栈推进需要建立在需求交付质量不变、效率提升的前提下才有意义,保障全栈需求的交付质量主要通过CR和上线追踪的方式。CR

  • 所有全栈研发的代码由业务前端owner或师兄强制CR;
  • 发起CR时机,在完成项目开发和自测后,全栈同学需及时提交CR给师兄和业务前端owner;
  • 师兄和业务前端owner完成代码review后,全栈同学按照要求进行代码修复;
线上追踪

  • 统计千行缺陷率、可自测发现率、线上问题数、预警量等指标,纳入全栈交付质量统计;
  • 线上故障由业务前端owner和实际开发人共同处理,线上缺陷由全栈开发同学修复;
2.5 需求复盘
全栈之路不可能一帆风顺,中间总是会有各种磕磕绊绊,失败是在所难免的,失败不是成功之母,好的复盘才是,所以全栈路上,迭代复盘必不可少。商家技术团队每两周会对全栈迭代进行一次复盘,总结Highlight、Lowlight,以及后续的Action。三、全栈需求实践
3.1 背景
先知平台服务于阿里巴巴国际站行业小二,通过全球趋势洞察、站内供给分析,输出品类策略,赋能行业小二品类规划。本需求展示站外热搜关键词榜单,方便行业小二快速洞察站外趋势,Demo如下:
3.png
 
3.2 准备工作
3.2.1 环境准备

进行前端开发工作前,需要准备本地编译环境,按照我的理解,对前端的相关编译工具类比到后端方便大家理解:
工具名称类型类比后端工具下载链接
Node运行环境JVMhttps://nodejs.org/en/download
npm包管理器Mavenhttps://nodejs.org/zh-cn/download
VSCode编译器IntelliJ Ideahttps://code.visualstudio.com/download
LightProxy代理- 
3.2.2 熟悉代码

在正式开发之前,拉取前端项目代码,学习项目代码结构,遵循前端开发规范。
  1. alita-xianzhi
  2.     |--- hook                // 钩子脚本
  3.     |--- .eslintignore      // eslint格式校验忽略文件
  4.     |--- .eslintrc.js        // esliint格式配置文件
  5.     |--- package.json        // 依赖包版本(类似pom.xml)
  6.     |--- src                // 源代码
  7.           |-- common             // 定义项目常量,比如目录,常用文字说明等
  8.           |-- components         // 公共组件目录
  9.           |-- entry              // 跳转页
  10.           |-- pages             // 页面代码,文件名与 URL 路径相对应
  11.           |-- service           // 服务,接口请求地址
  12.           |-- utils             // 公用方法
  13.           |-- index.jsx          // 主页
  14.           |-- index.scss        // 主页样式css
  15.           |-- tab-config.js     // 路由配置
复制代码
3.2.3 新建变更

每次前端开发都需要新建变更,最后形成一个独立的版本号。在前端页面展示时,通过版本号决定呈现的页面版本。3.3 代码开发
3.3.1 模块划分

在正式开发代码之前,先分析下页面,理清开发思路,划分待开发的组件,确定最终的代码结构。页面上方和左侧的菜单栏为通用组件,本次开发不需要修改。除此之外的页面可以划分为两大块:

  • 筛选栏:展示筛选项、搜索栏
  • 详情Tab:展示多个Tab,本次开发的关键词榜单就是其中一个Tab页面
4.png
由此,确定最终的组件结构,如下图:
5.png

确定了组件结构,再结合项目目录结构,不难确定代码开发的位置:

  • 筛选栏改造:改造query-header-container文件夹下的组件代码
  • 详情Tab:在aaa文件夹下新增keyword-table文件夹,然后在里面写代码
  1. src               
  2. |-- pages         
  3.        |-- outside-opportunity-discovery
  4.                |-- components    // 站外机会发现组件
  5.                        |-- query-header-container  // 筛选框组件
  6.                              |-- index.jsx            // 筛选框组件主页
  7.                              |-- index.scss            // 筛选框组件主页样式
  8.                        |-- aaa                  // aaa榜单
  9.                              |-- keyword-table        // aaa关键词榜单列表
  10.                                      |-- index.jsx            // aaa关键词榜单主页
  11.                                      |-- index.scss            // aaa关键词榜单主页样式
  12.                              |-- index.jsx            // aaa榜单主页
  13.                              |-- index.scss            // aaa榜单主页样式
复制代码
3.3.2 筛选栏开发

原样式
6.png
目标样式
7.png
解决思路可以看到,整个样式几乎是没有变化的,区别是需要将“对比周期”隐藏,同时将“选择行业”提到第一行,相对来说比较容易修改。只需要判断当前选择的Tab页,然后确定渲染逻辑即可。React中支持根据条件判断是否渲染某组件,只需要在条件表达式后跟&&,则表示若条件表达式成立,则渲染组件,否则不渲染。例如:
  1. class QueryContainer extends Component {
  2.   render(){
  3.     return (
  4.       {currentTab === 'keyword' && (
  5.         关键词榜单筛选栏
  6.       )}
  7.       {currentTab !== 'keyword' && (
  8.         品类榜单筛选栏
  9.       )}
  10.     );
  11.   }
  12. }
复制代码
上例中,相当于有两个if条件语句,伪代码如下:
  1. if(currentTab == 'keyword'){
  2.     展示关键词榜单筛选栏
  3. }
  4. if(currentTab != 'keyword'){
  5.     展示品类榜单筛选栏
  6. }
复制代码
同时,React也支持三目运算符,例如:
  1. class QueryContainer extends Component {
  2.   render(){
  3.     return (
  4.       {currentTab === 'keyword' ? (
  5.         关键词榜单筛选栏
  6.       ) : (
  7.         品类榜单筛选栏
  8.       )}
  9.     );
  10.   }
  11. }
复制代码
通过以上逻辑判断,可以实现对筛选栏的改造,根据不同Tab展示不同样式。
3.3.3 详情Tab开发

目标样式
8.png
解决思路整个列表可以被分为两部分:表头和表数据。为了保持整个站外商品库榜单的风格统一,这里没有选择直接使用Table组件,而是选择了定制化程度更高的Grid栅格布局,通过将页面分为10列多行,最后通过css调整表格的样式。Grid栅格布局支持按照行、列构建页面,将页面分为多个网格,非常方便自定义页面风格。例如:
  1. class keywordTable extends Component {
  2.   render(){
  3.     return (
  4.       <Row>
  5.         <Col span="12" className="class1">第一列</Col>
  6.         <Col span="12" className="class2">第二列</Col>
  7.       </Row>
  8.     );
  9.   }
  10. }
复制代码
Grid栅格布局将每一个行划分为24个小列,只需要指定span,即可按比例设置列的宽度。className可以轻松的定制每个网格的样式。上例中,使用Grid栅格布局渲染了一行,并将其平分为两列。
渲染表头表头与表数据样式不同,同时内容也是固定的,所以可以单独渲染,我将其抽为单独的渲染函数,部分代码如下:
  1. class keywordTable extends Component {
  2.   renderTableHeader(){
  3.     return (
  4.       <Row className="product-table-header">
  5.         <Col className="header-keyword" span="3">
  6.           关键词
  7.         </Col>
  8.         <Col className="header-keyword-category" span="4">
  9.           所属类目
  10.         </Col>
  11.         <Col className={this.getTitleClassName('avgSold')} span="2">
  12.           品均月销量($)
  13.           <Icon
  14.             type="descending"
  15.             size="xs"
  16.             onClick={() => this.onSortChange('avgSold', 'avg_sold')}
  17.           />
  18.         </Col>
  19.         ...
  20.       <Row>
  21.     );
  22.   }
  23. }
复制代码
在每个网格内,可以任意的渲染组件,比如上例中我就在其中一个网格内嵌入了下降图标的Icon。React还支持动态的拼接每个组件的className,上例中,我封装了一个动态获取className的方法,用于实现点击排序后,排序字段高亮的样式。
渲染表数据表数据的每一行对前端来说是相同的,只需要遍历表数据,一行一行的进行渲染即可,部分代码如下:
  1. class KeywordTable extends Component {
  2.   renderTableKeyword(){
  3.     return (
  4.       
  5.         {dataList.map((item = {}, index) => {
  6.           return (
  7.             <Row key={index} className="keyword-table-item">
  8.               <Col className="item" span="3">
  9.                 {item.keyword}
  10.               </Col>
  11.               <Col className="item" span="4">
  12.                 {item.cateName}
  13.               </Col>
  14.               ...
  15.             </Row>
  16.           );
  17.         })}
  18.       
  19.     );
  20.   }
  21. }
复制代码
上例中,首先遍历数据列表中的每一个对象,在遍历时,需要给对象设置默认值,避免对象为null导致页面渲染异常,然后取对象中的各属性值并渲染到网格中。
组装渲染函数上面将数据列表拆分为表头和表数据进行渲染,最后需要将两者放到组件的渲染函数中才会生效,代码如下:
  1. class KeywordTable extends Component {
  2.   render(){
  3.     return (
  4.       <React.Fragment>
  5.         {this.renderTableHeader()}
  6.         {this.renderTableKeyword()}
  7.       </React.Fragment>
  8.     );
  9.   }
  10. }
复制代码
3.3.4 组件通信开发

上文提到筛选栏的样式需要在原有基础上进行改造,根据用户选择的不同详情Tab确定展示的样式,但在渲染筛选栏组件时,还无法确定当前用户选择的是哪个Tab;同时,筛选栏选择不同的筛选项并通过请求后端接口返回不同数据后,需要让数据列表展示不同的数据,但拉取数据和展示数据是在两个组件中完成的。这些地方就涉及到组件之间的通信,需要让筛选栏与下方的详情Tab交互,从而执行不同的渲染逻辑。类比后端,每个组件相当于一个类,组件渲染出来的页面效果即是一个对象,想要实现两个对象之间的通信,可以有两种思路:

  • 两个对象之间本身存在包含关系,例如对象A包含对象B,这时候A可以轻松的获取B的属性;
  • 两个对象之间存在一个媒介,通过媒介进行交互,例如对象C同时包含对象A和对象B,这时候A和B可以通过C轻松交互;
这里我使用了第2种思路,也就是父组件。内容页面同时包含了筛选栏和详情Tab两个组件,这就是天然的媒介。父组件中维护两个子组件需要通信的变量作为属性,子组件通过读写父组件中的属性来完成交互。
9.png

子组件读父组件属性

  • state
Java中的类属性可以直接定义在类中;与之相似,每个前端的组件也可以维护自己的属性,区别在于,前端组件的属性需要放在state中。例如:
  1. class AAA extends Component {
  2.   state = {
  3.     currentTab: 'keyword',
  4.     dataList: []
  5.   }
  6.   render(){
  7.     const {currentTab} = this.state
  8.     <QueryContainer currentTab={currentTab}/>
  9.   }
  10. }
复制代码

  • props
在Java中,类的初始化使用构造器,解析构造器中的参数实例化对象;与之相似,前端组件在渲染时,可以通过解析传入参数初始化,这个参数统一封装到props中,可以通过this.props访问。例如:
  1. class QueryContainer extends Component {
  2.   render() {
  3.     const {currentTab} = this.props;
  4.   }
  5. }
复制代码
通过以上方法,可以让子组件随时感知到父组件的属性值变化,只要currentTab值改变,React框架会检测到props值改变,从而触发子组件重新渲染,调用render()函数,最终实现根据不同Tab渲染不同筛选栏的效果。子组件写父组件属性Java支持将函数作为Function对象进行参数传递,与之相同,React框架也支持将函数作为参数,通过props传递。如果子组件希望写父组件属性,只需要将父组件中写state值的操作封装为函数,然后传递给子组件即可。例如:
  1. class AAA extends Component {
  2.   state = {
  3.     currentTab: 'keyword',
  4.     dataList: []
  5.   }
  6.   setDataList(newDataList){
  7.     this.setState({newDataList});
  8.   }
  9.   render(){
  10.     const {currentTab} = this.state
  11.       <QueryContainer
  12.           currentTab={currentTab}
  13.           setDataList={this.setDataList}/>
  14.   }
  15. }
  16. class QueryContainer extends Component {
  17.   onSearchBtnClick(){
  18.     // 构造新的dataList
  19.     newDataList = ...;
  20.     this.props.setDataList(newDataList);
  21.   }
  22. }
复制代码
3.4 本地调试
3.4.1 代理配置

前端代码在开发完后可以在本地直接启动、并调用服务端的预发接口,从而实现本地调试,步骤如下:

  • 确定待代理的URL
  • 使用LightProxy配置前端代码Host绑定,例如:
  1. ^dev.g.alicdn.com/pagani-assets/alita-xianzhi/**/** file://Users/zhangpoxi/webStormProject/alita-xianzhi/build/$2
复制代码
本例中的绑定将所有包含路径dev.g.alicdn.com/pagani-assets/alita-xianzhi的http访问请求代理到前端代码编译得到的文件夹中,实现本地调试的效果

  • 使用LightProxy配置后端预发接口代理,例如:
  1. 127.0.0.1 future.alibaba-inc.com
复制代码
本例中将所有访问域名的请求路由到指定ip的机器上,实现本地访问预发接口的效果

  • 启动LightProxy代理,如下图,如果LightProxy左侧配置项上有绿点,且菜单栏中的系统代理项前有小勾,则表示代理生效中
10.png
3.4.2 如何判断代理是否生效


  • 打开浏览器,打开“开发者工具”,Chrome浏览器快捷键F12
  • 访问代理的URL
  • 搜索被代理的前端请求中的任意字符串,比如xianzhi
  • 查看访问的ip地址,如果是127.0.0.1则说明代理生效
11.png
3.5 发布
用户看到的页面本质上将就是文件,所以前端代码打包完成后都会推送到CDN,通过版本号确定需要拉取的文件,如图所示主要分为以下几步:
12.jpeg


  • 开发同学将前端代码打包并推送到CDN上;
  • 用户访问服务器,服务器确定当前使用的版本号;
  • 服务器向CDN请求某版本号的前端代码包;
  • CDN找到对应的前端代码并返回给服务器;
  • 服务器向用户响应页面文件。
3.6 常见问题
3.6.1 npm安装依赖失败

现象
13.png
原因npm本质上是一个类似于Maven的包管理器,如上报错是因为项目依赖版本出现冲突,导致npm不知道使用哪个版本,这时候可以直接强制安装,使用package.json中配置的版本即可解决办法使用命令行npm install --force替换tnpm install3.6.2 代理不生效

现象访问页面时本地修改代码不生效原因可能导致该现象的原因较多,比如:

  • LigthProxy代理配置错误
  • LigthProxy代理失败或未启动
  • 页面缓存导致代理不生效
解决办法

  • 检查本地项目启动是否成功
  • 访问路径是否正确
  • LightProxy开启是否成功
  • LightProxy中配置的本地资源路径是否正确
  • 清空缓存,重启LightProxy,多刷新几次试试
四、全栈开发心得

  • 培养全局视角,加深领域专业度



    • 在传统的需求迭代交付中,开发总是站在某一个视角看整个业务,对业务整体框架缺乏认知。通过全栈交付,为开发同学提供更高的维度、更全局的视角,这样可以更好地理解业务模型、业务流程和不同模块之间的关系,从而更好地把握业务的本质和目标,提升领域理解,加深领域专业度,更快成为某个领域的专家。



  • 降低沟通成本,提升交付效率



    • 沟通成本在迭代需求交付过程中已经成为不可忽视的一部分,尤其是跨团队的需求对接,接口沟通、联调将会花费大量时间。通过全栈进行需求交付,省去了多人之间的沟通成本,让开发专注在需求上,而不是与外部沟通上。全栈交付也可以在一定程度上避免返工问题,比如在定义接口的时候,有些细节没考虑清楚,导致出入参的结构存在一些问题。如果是非全栈需求,需要重新跟前端同学对接,针对接口是否合理的讨论可能就会花费1个小时,然后前段再重新开发页面,浪费大量时间。而如果是全栈需求,我可以直接修改接口,不需要跟前端同学再去交流一遍,前端页面也可以在后端接口确认之后再开始搭建,不存在返工问题。



  • 拓展技术广度,增强个人竞争力



    • 当下,AI能力越来越强,降低了跨栈开发的门槛,人人都可以借助AI能力,进行跨栈开发,我们在深挖专业技能的同时,技术广度也是不可获取的一部分,全栈能力必然是大势所趋。目前先知的全栈实践局限在前端、后端,未来的全栈可以继续向数据开发、算法等方向发展,一人成军,让迭代需求交付没有卡点。未来的技术发展需要拥有全栈能力的人才能够更好地适应,跨界合作将成为趋势。因此,通过拓展技术广度,不仅可以增强个人竞争力,还能够在职场中获得更多的机会和挑战,实现自我价值的最大化。

 
作者| 慕钦

来源:程序园用户自行投稿发布,如果侵权,请联系站长删除
免责声明:如果侵犯了您的权益,请联系站长,我们会及时删除侵权内容,谢谢合作!

相关推荐

2025-10-29 11:29:19

举报

喜欢鼓捣这些软件,现在用得少,谢谢分享!
2025-12-25 07:32:44

举报

2026-1-1 17:50:32

举报

2026-1-19 05:21:58

举报

2026-1-23 03:28:29

举报

2026-1-23 07:05:12

举报

2026-1-24 12:40:41

举报

2026-2-3 10:03:05

举报

123下一页
您需要登录后才可以回帖 登录 | 立即注册